• 蜜桃性爱视频网站,蜜桃AV免费观看,蜜桃成人半夜在线观看,蜜桃国产成人精品区在线观看

    芬兰Kibron专注蜜桃AV免费观看测量技术,快速精准测量动静态表面张力

    热线:021-66110810,66110819,66110690,13564362870 Email: info@vizai.cn

    合作客户/

    拜耳公司.jpg

    拜耳公司

    同济大学

    同济大学

    联合大学.jpg

    联合大学

    宝洁公司

    美国保洁

    强生=

    美国强生

    瑞士罗氏

    瑞士罗氏

    当前位置:首页 > 新闻中心

    表面张力的计算公式

    来源:李传亮 浏览 2196 次 发布时间:2021-07-24

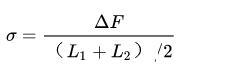
    用吊片法测量表面张力的实验十分简单。把吊片放入流体中,然后向上拉吊片,测量拉动吊片的力,越向上拉,拉力就越大。在计量了液膜被拉断前后的力差之后,用下面的哪个公式计算表面张力才最正确?


    1、


    2、


    3、


    4、


    式中,L1为吊片的宽度,L2为吊片的厚度。

    网站地图