• 蜜桃性爱视频网站,蜜桃AV免费观看,蜜桃成人半夜在线观看,蜜桃国产成人精品区在线观看

    芬兰Kibron专注蜜桃AV免费观看测量技术,快速精准测量动静态表面张力

    热线:021-66110810,66110819,66110690,13564362870 Email: info@vizai.cn

    合作客户/

    拜耳公司.jpg

    拜耳公司

    同济大学

    同济大学

    联合大学.jpg

    联合大学

    宝洁公司

    美国保洁

    强生=

    美国强生

    瑞士罗氏

    瑞士罗氏

    当前位置:首页 > 新闻中心

    ​2,3-双八氟戊烷基甘油醚-1-硫酸酯钠的合成路线、表面张力及乳化性能(三)

    来源:精细化工 浏览 31 次 发布时间:2025-11-18

    2.2表面张力测试


    测得不同浓度BOFPGS水溶液的表面张力,结果见图6。由图6可知,BOFPGS的临界胶束浓度CMC为4.16×10-3 mol/L,所对应的最低表面张力为22.70 mN/m。相较于已报道八氟戊醇的表面活性剂(γ=24~29 mN/m),其表面活性具有一定的提升。原因是,在疏水基团中碳氟链相同情况下,增加分子中疏水基团的数量使碳氟链数目增加,链间分子作用力增大,疏水性增强,从而使表面活性得到提升。

    图6 BOFPGS水溶液的表面张力与浓度关系曲线


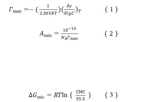
    根据表面张力和浓度的关系曲线,使用吉布斯吸附等温线〔方程(1)〕计算出表面活性剂分子吸附在气液界面的最大表面过剩浓度(Гmax)。

    式中:R为摩尔气体常数,值为8.314 J/(mol∙K);T是热力学温度,值为298 K;C为表面活性剂浓度,单位是mol/L;γ是表面活性剂在水溶液的表面张力,单位是mN/m。

    每个分子的最小表面积(Amin)可由公式(2)计算得出。

    式中:NA为阿伏伽德罗常数,为6.02×10²³,Гmax的单位是mol/m2。

    临界胶束浓度时的标准吉布斯自由能由公式(3)计算得出。


    根据以上公式,计算出BOFPGS的表面活性数据,结果如表1所示。由表1可知,BOFPGS具有与其他全氟烷基类表面活性剂相当的表面活性。由于BOFPGS分子尾端是HCF2—基团,并不是以全氟碳链作为疏水基,使其表面张力比全氟辛酸(POFA)稍高。但BOFPGS具有更低的临界胶束浓度,这是由于分子结构中有亲水醚键的存在。

    表面活性剂 CMC
    (mmol/L)
    γCMC
    (mN/m)
    Amin
    (nm²)
    Γmax
    (10⁻¹⁰ mol/cm²)
    ΔGmic
    (kJ/mol)
    PFhA 28.01 23.98 1.49 1.11 -18.82
    PFHA 19.90 22.97 0.89 1.86 -19.66
    PFOA 13.51 19.98 0.76 2.18 -20.63
    BOFPGS 4.16 22.70 1.63 1.02 -23.54

    表1.在25℃时全氟辛酸铵(PFhA)、全氟己酸(PFHA)、全氟辛酸(PFOA)和BOFPGS的表面性质


    2.3乳化性能


    将同等体积的BOFPGS水溶液与液体石蜡混合均匀之后,在50℃恒温中静置观察所形成的乳液析水情况,析水率越小说明乳化能力越强,形成的乳液越稳定。BOFPGS与液体石蜡形成乳液的析水率如图7所示。从图7可以看出,乳液随着静置时间增加,析水率增大,约在30 min以后乳液达到稳定,析水率趋于平衡。BOFPGS浓度越大乳液越稳定,析水率越低,BOFPGS浓度为0.8×10-3、1.6×10-3和3.2×10-3 mol/L的乳化性能接近,相较于KANG等人合成的短氟链阴离子表面活性剂(在表面活性剂质量分数为1%的水溶液中才能表现出稳定的乳化性能),BOFPGS的用量更低,具有更好的乳化性能,可大大降低BOFPGS的使用成本。

    图7不同浓度BOFPGS的乳化能力测试


    2.4细胞活性检测


    表面活性剂的毒理性质是评价表面活性剂安全性的重要参数,采用MTT法来测试BOFPGS对细胞活性的影响。将浓度梯度为8.04×10-6 1.6×10-4 mol/L(5~100 mg/L)的BOFPGS加入到96孔板中培养HSF细胞24 h,细胞活性变化情况如图8所示。从图8可以看出,HSF细胞在BOFPGS浓度为8.04×10-6 1.6×10-4 mol/L作用下其细胞活性都在90%以上。说明在8.04×10-6 1.6×10-4 mol/L浓度范围内,BOFPGS对HSF细胞没有表现出明显的毒性的,有望作为环保、安全的产品进行使用。

    图8不同浓度BOFPGS时HSF细胞活性


    3结论


    以八氟戊醇为原料,2,3-二溴丙醇为连接基,氯磺酸为硫酸酯化试剂,通过两步法合成了与甘油醚结构类似的含两条氟烷基的阴离子表面活性剂(2,3-双八氟戊烷基甘油醚-1-硫酸酯钠)。使用FTIR、NMR和MS对中间产物和目标产物进行了结构表征。其具有两条较短的氟碳链,最低表面张力为22.70 mN/m,临界胶束浓度CMC为4.16×10-3 mol/L,表现出与典型的碳氟表面活性剂相当的表面活性。其在较低浓度(0.8×10-3 mol/L)的水溶液中仍然具有良好的乳化性能,能够较大程度地减少氟碳的使用成本。另外,通过细胞毒性测试表明,在8.04×10-6 1.6×10-4 mol/L浓度范围内,其没有表现出很高的毒性。该表面活性剂所表现出高表面活性、乳化性能以及很低的细胞毒性,有望作为低毒的氟碳表面活性剂进行使用。


    网站地图