合作客户/
拜耳公司 |
同济大学 |
联合大学 |
美国保洁 |
美国强生 |
瑞士罗氏 |
相关新闻Info
-
> 液滴中心液态区表面张力法研究PTFE胶粒与NaCl混合液滴图案形成原理
> 微胶囊聚合物溶液对延展型表面活性剂界面张力的影响(一)
> 考虑界面张力、液滴尺寸和液滴变形影响的携液临界模型构建(一)
> 氨基改性硅油柔软剂的表面张力、透水率、分层测试(三)
> 不同PQAI溶液静态/动态表面张力变化及对脉动热管性能影响(二)
> 表面张力大容易润湿吗,表面张力的影响因素有哪些
> 桐油基衍生物钠盐的表面张力、CMC值测定、乳液稳定性、固化膜性能测试(二)
> 烷基糖苷柠檬酸单酯二钠盐水溶液的动态表面张力测定及影响因素(上)
> 生物表面活性剂产生菌菌体密度、细胞疏水性与发酵液pH及表面张力的关系(二)
> 两种烷基咪唑亚磷酸酯离子液体热稳定性、表面张力测定(三)
推荐新闻Info
-
> 反离子盐KBr浓度对酰胺基阳离子Gemini表面活性剂的表/界面活性的影响(二)
> 反离子盐KBr浓度对酰胺基阳离子Gemini表面活性剂的表/界面活性的影响(一)
> 典型离子型与非离子型起泡剂的界面行为对泡沫性能的影响机制
> 新无氰白铜锡电镀液及电镀方法可降低表面张力,促进镀液对复杂工件的润湿
> 一种耐超高温酸液体系、制备方法及其应用
> 纳米渗吸驱油剂种类、降低界面张力和改变润湿性的能力等机理研究(四)
> 复合驱中聚合物与阴离子表面活性剂的协同作用研究
> 化学组成对无碱铝硼硅OLED基板玻璃表面张力的影响——结果、结论
> 化学组成对无碱铝硼硅OLED基板玻璃表面张力的影响——摘要、实验方法
> 纳米渗吸驱油剂种类、降低界面张力和改变润湿性的能力等机理研究(三)
热毛细效应引起的表面张力梯度导致倾斜壁面上液膜干斑的出现(二)
来源:化工进展 浏览 513 次 发布时间:2025-06-05
2实验装置及方法
2.1实验装置
本实验的实验装置,如图3(a)所示。该装置主要由液体回路、布液器和实验段三大部分组成。液体回路用于提供不同的流动条件,以确保布液器能够稳定形成液膜。在这个回路中,液体从恒温水箱(Julabo-Vivo RT2)中流出,恒温水箱提供一个稳定的入口温度,由齿轮泵(Cole-parmer)控制液体流量大小,液体再流入流量计(Micro motion 2700,精度为±0.05%),流量计监测管道内液体的质量流量,在布液器的入口端放置一个T型热电偶(精度为±0.5℃)来测量入口温度的变化,最后使用数据采集器(Keithely 2700)采集流量计的质量流量、热电偶的温度和加热片的功率。本实验对入口温度要求较高,所以采用一些保温措施,在不锈钢管和布液器腔室周围包裹一层保温棉,减少热量损失。
图3实验装置及测量示意图
在实验中,不确定度主要来自功率误差和热电偶误差。电压和电流的不确定度分别为0.1V和0.1A。
采用式(26)计算功率输入的热量不确定度。
加热片的输入功率的不确定度计算方法见式(27)、式(28)。
基于相同的计算方法,40W、30W和20W加热片的热输入不确定度分别为±3.2W(±8%)、±3W(±10%)和±2.02W(±10.1%)。
与热电偶相关的温度不确定度为0.5℃,Keithely 2700的系统温度的精度为0.01℃,热电偶与测量位置之间的温度误差为2℃,温度测量误差(δT)计算方法见式(29)。
实验中布液器采用3个腔室,3个腔室被有机玻璃分隔开。第一个腔室被设置为液体从有机玻璃挡板上方溢流入第二个腔室。其中,第二腔室和第三腔室之间的有机玻璃未粘接在基材上形成细缝,液体将从细缝流入下一个腔室。在这两个腔室中填充海绵,海绵的作用是液体能够更加均匀地从细缝流出,最终以恒定的流量沿铜板基底表面均匀流动。实验设置细缝为1mm,最后的挡板厚度为10mm;实验段采用100mm×50mm铜板为基底,在铜板的底部粘贴相同面积的加热片,提供均匀的热源。
2.2液膜厚度测量方法
Hou等基于气液两相介质电导率特性不同的原理,将位移千分尺探头用于气液界面的检测。但本实验采用的液体工质为去离子水、乙二醇和丙二醇,考虑它们在动力黏度上的差异对液膜的流动行为和稳定性具有重要影响,并且探针接触到液体时没有电压输出信号,只有当探针接触到铜板时才会形成回路,显示电压输出信号,采用Pixelink摄像机观测探针与液体接触,确定了液膜的气液界面[图3(c)的红色线上方],探针接触到液膜时将会出现毛细现象,探针沿着径向在液膜中不断移动,直到探头刚好接触到铜板形成回路。因此,液膜的厚度就是探头前进的相应距离。将液膜厚度测量点分为A、B、C、D组,如图3(b)所示,两组之间的间距为20mm,将同一位置10次测量结果的算术平均值作为膜厚度。
h的计算方法见式(30)。
式中,n为测量次数,n=10;hi是测量10次液膜厚度的平均值。
喷淋密度Γ计算方法见式(31)。
式中,m为流入布液器的质量流量;W为铜板的宽度。
液膜雷诺数Re计算方法见式(32)。
2.3不同物性
能够在壁面上完全铺展的液膜不仅仅与壁面的结构和润湿性有关,还与液体本身的物性有着密切关系。较高的黏度会导致液膜在流动过程中变得更加稳定且不容易破裂,使得液膜的分布相对均匀;表面张力会改变壁面上液膜的润湿性,从而影响液膜在壁面上的铺展能力。因此,深入探讨不同物性对液膜分布的影响,具有重要的理论意义和实际应用价值。在实验中工作液体包括去离子水、乙二醇、丙二醇。工作液体的性质,如表1所示。同时温度的变化将直接影响液体的黏度和表面张力,随着温度的升高液体分子的动能也随之增强,分子间的相互作用减弱,黏度和表面张力都将减小,进而影响液膜的形成和铺展,不同温度下去离子水的性质,如表2所示。
表1在20℃下不同工作液体的性质
表2不同温度下去离子水的性质
3结果与讨论
3.1数学模型验证
通过合理的假设,建立了一个三维数学模型来预测倾斜壁面上的液膜流动特性。图4是在入口温度为20℃和壁面倾斜角度为15°时,不同Re的液膜厚度的对比曲线。本文将实验测得的液膜厚度与文献中报道的用于预测水平圆管和倾斜平板上液膜厚度的经验公式进行了比较,同时还将Nusselt提出的经典液膜厚度公式和本文建立的数学模型计算结果进行了对比分析。随着雷诺数的增大,无论是实验数据、理论公式还是模型计算,所得的液膜厚度均逐渐增加,且实验结果的平均值与Nusselt理论具有良好的一致性。图4中的放大图进一步显示,模型计算结果与Nusselt理论所得结果非常接近,这主要是因为模型计算中采用了Nusselt理论作为迭代初值。然而,模型计算值始终略小于Nusselt理论值,这是由于在式(17)中考虑了蒸发质量通量Js。在绝热条件下,模型计算包含了一项蒸发质量通量的影响,从而导致计算的液膜厚度略低于Nusselt理论预测值。这一差异表明,在实际条件下,蒸发效应对液膜厚度的影响不可忽略,模型的引入使计算更加贴近实际。
图4液膜厚度对比
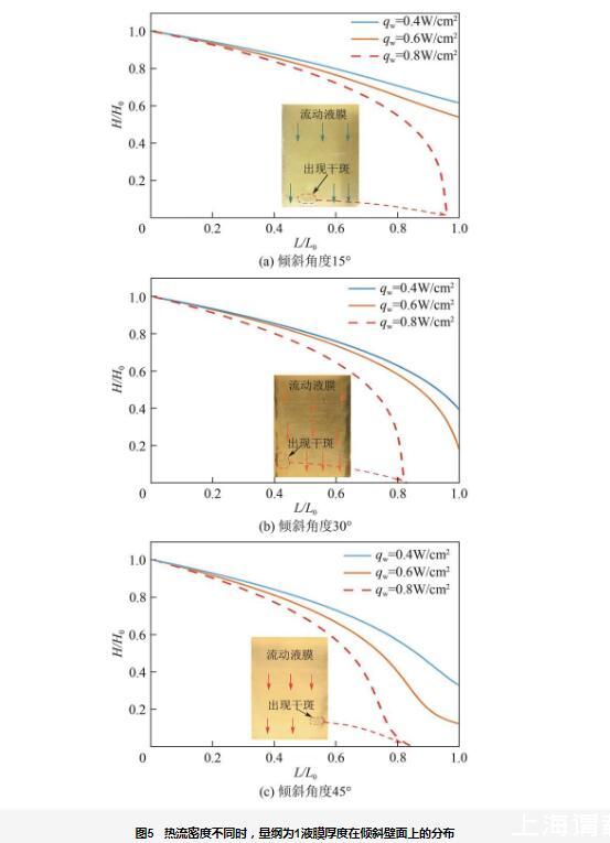
图5所示的数学模型中,壁面倾斜角度分别为15°、30°和45°,喷淋密度为0.016kg/(m·s)、0.03kg/(m·s)和0.04kg/(m·s),入口温度为70℃。通过施加不同的热流密度加热壁面,模型计算得出了量纲为1液膜厚度在倾斜壁面上的分布情况。结果显示,当热流密度qw=0.8W/cm2时,不同倾斜角度下的壁面上量纲为1液膜厚度均逐渐减小,最终降至零,出现了烧干现象。同时,模型计算结果与实验结果相符,干斑位置均出现在壁面底部,这一现象的产生不仅是由于蒸发的作用,还与热毛细效应密切相关。在加热过程中,热毛细效应促进了液膜表面张力的变化,使得液膜的稳定性减弱,导致液膜局部破裂。随着蒸发效应的增强,液膜厚度逐渐减小,特别是在液膜的薄弱区域,蒸发速率提高,导致液膜厚度进一步减小,最终在底部区域发生破裂。因此,干斑通常出现在壁面底部,这进一步验证了实验结果与数学模型计算之间的良好一致性,并表明所建立的数学模型能够有效预测液膜在倾斜加热壁面上的流动行为和烧干现象。
图5热流密度不同时,量纲为1液膜厚度在倾斜壁面上的分布





