合作客户/
拜耳公司 |
同济大学 |
联合大学 |
美国保洁 |
美国强生 |
瑞士罗氏 |
相关新闻Info
-
> 粘度、稠度和表面张力的共同点及在日常生活中的应用
> 诱导期测定法研究NaCl的添加对碳酸锂固-液界面张力等成核动力学参数影响——结果与讨论
> 蒙药滴丸剂制备与表面张力有何关系?
> 加入低表面张力活性剂,将自来水厂污泥制备成生物滞留介质海绵土
> 纳米渗吸驱油剂种类、降低界面张力和改变润湿性的能力等机理研究(四)
> 海洋环境表面活性物质来源及对海洋飞沫气溶胶数浓度、粒径分布、理化性质的影响(一)
> 芬兰Kibron表面张力测试仪跟踪氯乙烯悬浮聚合中的表面张力变化情况
> 三种金属阳离子对SDS表面活性剂溶液的影响研究
> 表面张力测定仪的测试方法及特点
> 表面活性剂对纳米碳纤维CNFs在水性体系中分散性的影响(一)
推荐新闻Info
-
> 反离子盐KBr浓度对酰胺基阳离子Gemini表面活性剂的表/界面活性的影响(二)
> 反离子盐KBr浓度对酰胺基阳离子Gemini表面活性剂的表/界面活性的影响(一)
> 典型离子型与非离子型起泡剂的界面行为对泡沫性能的影响机制
> 新无氰白铜锡电镀液及电镀方法可降低表面张力,促进镀液对复杂工件的润湿
> 一种耐超高温酸液体系、制备方法及其应用
> 纳米渗吸驱油剂种类、降低界面张力和改变润湿性的能力等机理研究(四)
> 复合驱中聚合物与阴离子表面活性剂的协同作用研究
> 化学组成对无碱铝硼硅OLED基板玻璃表面张力的影响——结果、结论
> 化学组成对无碱铝硼硅OLED基板玻璃表面张力的影响——摘要、实验方法
> 纳米渗吸驱油剂种类、降低界面张力和改变润湿性的能力等机理研究(三)
两种烷基咪唑亚磷酸酯离子液体热稳定性、表面张力测定(三)
来源:化工进展 浏览 841 次 发布时间:2025-01-16
2结果与讨论
2.1结构表征
通过1H和13C核磁数据和元素分析结果确定所合成的离子液体为目标结构,见图1、图2。
图1 1-乙基-3-甲基咪唑亚磷酸甲酯盐的核磁共振氢谱图和碳谱图
图2 1-乙基-3-甲基咪唑亚磷酸乙酯盐的核磁共振氢谱图和碳谱图
(1)1-乙基-3-甲基咪唑亚磷酸甲酯盐([Emim][OMP])
淡黄色液体。1H NMR(500MHz,CD3CN)化学位移δ:1.47(t,3H),3.38(d,3H),3.91(s,3H),4.25(q,2H),6.66(d,1H),7.53(q,1H),7.59(q,1H),9.95(s,1H)。13C NMR(125MHz,CD3CN)化学位移δ:14.73,35.54,44.51,49.24,49.27,121.87,123.45,137.89。C7H15N2O3P元素分析:计算值,C 40.78%、H 7.33%、N 13.59%;实验值,C 40.46%、H 7.36%、N 13.49%。
(2)1-乙基-3-甲基咪唑亚磷酸乙酯盐([Emim][OEP])
淡黄色液体。1H NMR(500MHz,CD3CN)化学位移δ:1.13(t,3H),1.44(t,3H),3.71(t,2H),3.90(s,3H),4.25(q,2H),6.71(d,1H),7.67(t,1H),7.75(t,1H),10.15(s,1H)。13C NMR(125MHz,CD3CN)化学位移δ:14.85,16.30,16.36,35.50,44.40,58.00,58.03,122.04,123.56,138.10。C8H17N2O3P元素分析:计算值,C 43.63%、H 7.78%、N 12.72%;实验值,C 43.25%、H 7.82%、N 12.59%。
2.2热稳定性和相行为
热重分析曲线如图3所示,根据热重分析曲线得到离子液体的Tstart和Tonset,如表1所示。[Emim][OMP]与[Emim][OEP]的热稳定性相近,分解温度分别为271.0℃和259.2℃。对比常见的含氟阴离子类离子液体,四氟硼酸盐([Cnmim][BF4])的Tonset在395~420℃范围内,六氟磷酸盐([Cnmim][PF6])的Tonset在400~430℃范围内,三氟甲磺酰亚胺盐([Cnmim][Tf2N])的Tonset在390~440℃范围内。因此,[Emim][OMP]与[Emim][OEP]的热稳定性,相比含氟阴离子类离子液体要更差。但与烷基咪唑卤盐(Tonset=255~280℃)和烷基咪唑硝酸盐(Tonset=280~290℃)相当,强于烷基咪唑醋酸盐(Tonset=220~230℃)[21]。
表1[Emim][OMP]与[Emim][OEP]的Tstart和Tonset
图3[Emim][OMP]与[Emim][OEP]的热重分析曲线图
使用差示扫描量热法对离子液体的固液相变进行了研究(图4),结果表明[Emim][OMP]与[Emim][OEP]不存在熔点或凝固点,只有玻璃化转变。[Emim][OMP]和[Emim][OEP]的Tg分别为-84.87℃和-85.00℃,即[Emim][OMP]与[Emim][OEP]并不存在真正意义上的固液相变,而只有冷却或加热过程中产生的无定形玻璃态与液态之间的转变。
图4[Emim][OMP]与[Emim][OEP]的DSC图
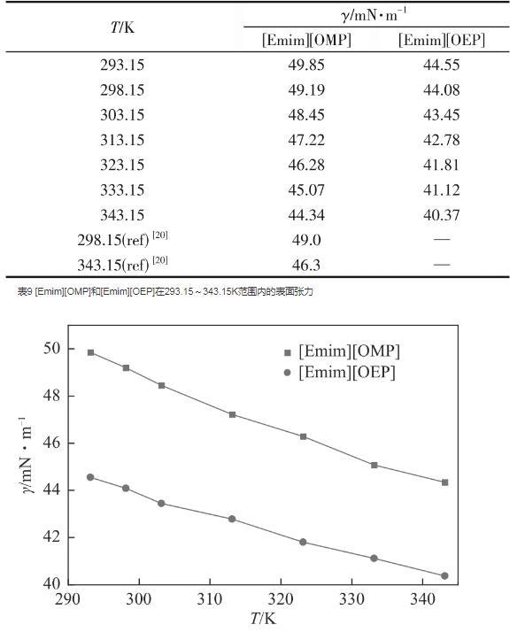
2.3表面张力
表面张力是一个对自由表面的物理和化学研究非常重要的性质,大部分离子液体的表面张力在30~60mN/m之间。[Emim][OMP]和[Emim][OEP]的表面张力实验值如表9和图5所示。对于亚磷酸酯离子液体,[Emim][OMP]在某论文中报道的其表面张力数据与本文最大偏差值达到了1.96mN/m。分析原因在于不同的课题组使用不同的测量方法测量表面张力,从而使测量实验值产生较大的偏差。因此,对于表面张力的测定,要达到准确可靠且具有复现性存在一定难度。
[Emim][OMP]的表面张力大于[Emim][OMP],分析认为离子液体的表面张力随阴离子体积的增大而减小。表面张力与温度线性相关,根据式(13)可以计算离子液体的表面焓和表面熵。
γ=Hγ+SγT(11)
式中,γ为表面张力,mN/m;Hγ为表面焓,mJ/m2;Sγ为表面熵,mJ/(m2·K);T为热力学温度,K。
表面焓Hγ、表面熵Sγ、拟合相关系数R2和平均相对偏差Δ如表10所示,拟合相关系数R2均大于0.99,平均相对误差Δ均小于1%,因此,表面张力线性拟合方程预测值与实验值一致。根据拟合结果可以发现,[Emim][OMP]相比[Emim][OEP]具有更大的表面焓和表面熵,这归因于离子液体阴离子体积增大使得表面张力减小。
3结论
本文合成了两种烷基咪唑亚磷酸酯离子液体,即[Emim][OMP]和[Emim][OEP],使用核磁共振氢谱、碳谱和元素分析对产物进行了表征。在一定温度下测定了产物的热稳定性、相行为、密度、黏度、电导率和表面张力,通过数学模型关联了实验数据,并得到了以下结论。
(1)[Emim][OMP]和[Emim][OEP]只表现出玻璃化转变而无凝固点和熔点,热稳定性相比常见的烷基咪唑离子液体要略差。
(2)基于密度实验值计算了离子液体的体积性质,包括热膨胀系数、分子体积、标准熵和晶格能;基于表面张力实验值计算了离子液体自由表面的热力学性质,包括表面熵和表面焓。离子液体[Emim][OMP]和[Emim][OEP]的体积性质和表面热力学性质变化与离子液体的分子量变化具有较强关联性,其中分子量的增大来源于阴离子侧链烷基的增长,离子液体的阴离子体积也会随之增大,使得离子液体分子体积增大和表面张力减小,从而导致离子液体标准熵增大以及晶格能、表面熵和表面焓的减小。
(3)分别使用数学模型和经验方程关联离子液体的密度、黏度和电导率、表面张力。密度、黏度和电导率拟合相关系数均大于0.9999,表面张力拟合相关系数大于0.99,平均相对误差均小于1%,结果表明所用的数学模型和经验方程对离子液体的密度、黏度和电导率、表面张力均有较好的预测。这归因于实验仪器的精度较高,使得实验数据偏差较小,而所选择的数学模型能更好地拟合相关的实验数据。
(4)离子液体[Emim][OMP]和[Emim][OEP]均遵循Walden规则,且均属于“good ionic liquids”。





