合作客户/
拜耳公司 |
同济大学 |
联合大学 |
美国保洁 |
美国强生 |
瑞士罗氏 |
相关新闻Info
推荐新闻Info
-
> 反离子盐KBr浓度对酰胺基阳离子Gemini表面活性剂的表/界面活性的影响(二)
> 反离子盐KBr浓度对酰胺基阳离子Gemini表面活性剂的表/界面活性的影响(一)
> 典型离子型与非离子型起泡剂的界面行为对泡沫性能的影响机制
> 新无氰白铜锡电镀液及电镀方法可降低表面张力,促进镀液对复杂工件的润湿
> 一种耐超高温酸液体系、制备方法及其应用
> 纳米渗吸驱油剂种类、降低界面张力和改变润湿性的能力等机理研究(四)
> 复合驱中聚合物与阴离子表面活性剂的协同作用研究
> 化学组成对无碱铝硼硅OLED基板玻璃表面张力的影响——结果、结论
> 化学组成对无碱铝硼硅OLED基板玻璃表面张力的影响——摘要、实验方法
> 纳米渗吸驱油剂种类、降低界面张力和改变润湿性的能力等机理研究(三)
通过柔性叶片流涂膜的超支化聚合物结构——结果和讨论
来源:上海蜜桃性爱视频网站 浏览 2153 次 发布时间:2021-10-25
三、结果和讨论
各种流涂参数用于形成不同的结构,例如超支化结构,垂直于流动方向的线(蜜桃性爱视频网站将其表示为"水平线"), 或平行于流动方向的线(蜜桃性爱视频网站将其表示为 "垂直条纹")。 为了探索这些结构的形成, 蜜桃性爱视频网站控制以下参数: UVO 曝光时间(至 控制基材表面能)、初始PS溶液浓度(co)、流涂停止时间(t)和设置距离 流涂 (d)。
基材表面能的重要性
UVO 暴露时间会导致键断裂和交联 在 ODTS 层中引起表面能的变化 ODTS 改性底物。 17 UVO 暴露增加 时间会导致水的接触角减小, 甲苯 [图。 1(B)]。 在蜜桃性爱视频网站的研究中,流涂 PS 溶液 在 UVO 处理的 ODTS 基材上使用 UVO 曝光时间 在 0 到 20 秒之间导致没有 PS 沉积 [图。 1(C)]。 随着 UVO 暴露时间在 70 到 180 秒之间增加,PS 的水平线以确定的间距沉积 由滑动距离(接触线的钉扎和脱钉之间的距离)。12 然而,有趣的是,在 60 秒 UVO 暴露,观察到超支化结构为 对齐良好的自相似三角形[图。 1(C)]。
蜜桃性爱视频网站在这里工作的重要结果之一是在 60 秒 UVO 暴露下形成了这些超支化结构 ODTS 基材通过流涂。 重要的是,这些结构是通过流涂创建的,它将受控的"粘滑"运动引入接触线,其中 PS 发生沉积。 无需流涂,一滴 PS 解决方案,例如,垂直条纹(支持信息,图 S2)沉积。
溶质马兰戈尼流
据蜜桃性爱视频网站所知,超支化结构的阵列有 以前不是通过密闭蒸发获得的 集会; 然而,通过将表面活性剂添加到含有 microshperes18 在纯硅晶片上。 Stebe 等人。 推测 迪根的周期性模式是由贝纳德细胞产生的, 由热 Marangoni 应力驱动。 19-21 作为液滴 蒸发,液滴表面冷却并产生作为深度和半径函数的温度梯度。 这些 温度梯度产生表面张力梯度 诱导热 Marangoni 应力。 22,23 除了热 Marangoni 应力、表面张力梯度也可以从溶质浓度梯度中产生,24 正如所观察到的 并预测聚合物溶液。25,26 这种效应是 称为溶质马兰戈尼效应。 一个值得注意的 溶质 Marangoni 强调的例子是"Tears of Wine",在 从表面张力较低的区域抽取的流体 由于张力梯度 27,28(马兰戈尼力)而导致表面张力较高的区域。 在蜜桃性爱视频网站的工作中,摩擦引起的 移动基板发生在边缘方向 体溶液的前面,29 方向与 流涂中的 Marangoni 力。 这些反对 力导致垂直条纹的周期性形成,平行于流动方向。 因此,蜜桃性爱视频网站推测 这些条纹产生超支化结构。
图 2 (A) 仅通过流涂的甲苯的弯液面前端。 箭头表示流动后退方向。 (B) 弯月面 聚苯乙烯(PS)在甲苯中通过流涂的前面。 白色的 虚线是眼睛的指南,半月板前面跟随 k 的周期波长。 (C) 表面张力和粘度作为 初始 PS 浓度的函数。 蓝色虚线表示甲苯的表面张力。 示意图说明 可能由表面张力梯度引起的流动(由 浓度梯度)用于在弯月面蒸发前沿的甲苯中的 PS。
虽然热 Marangoni 效应是次要的 对于蜜桃性爱视频网站的工艺,如甲苯的稳定性所示 在图 2(A) 中没有 PS 的弯液面,蜜桃性爱视频网站相信 溶质 Marangoni 效应在超支化结构的形成中起着重要作用(图 2B)。 支持 这个假设,蜜桃性爱视频网站注意到弯月面前沿,显示在 图 2(A,B),仅显示甲苯的直线和 甲苯中 PS 的正弦波表明溶质 马兰戈尼效应比热马兰戈尼效应更重要。 产生的溶质 Marangoni 效应 通过浓度梯度引起的表面张力梯度,24 是浓度局部波动的结果 聚苯乙烯[图。 2(C)]。
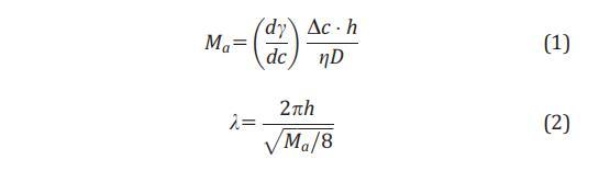
为了量化溶质 Marangoni 效应,25,26,30,31 蜜桃性爱视频网站估计 马兰戈尼数 (Ma) 和马兰戈尼波长 (k).32
这里,(dy/dc).△c 是由 浓度梯度,h为柔性流涂刮刀下方间隙高度的大小,12 g为粘度,D为 扩散系数。 PS 在甲苯中的粘度 溶液随着 PS 浓度的增加而增加。 33 表面张力的变化对应于各种变化 初始 PS 浓度水平 [图。 2(C)] 被测量 使用 Micro Trough XS (Kibron, 公司)。 根据这些数据,蜜桃性爱视频网站确定 dc=dc ð Þ? Dc.此外, 对应于不同初始 PS 浓度水平的粘度变化 [图。 2(C)] 测量,使用 TA 仪器 AR2000 流变仪,带标准同心圆柱体,温度为 20 8C,剪切速率为 200 s21 . 使用测量 值,假设 D 5 2.1 3 10211 m2 /s(与 Ref. 34)(计算参见支持信息),并假设溶液浓度在蒸发弯液面附近发生变化(计算参见支持信息),蜜桃性爱视频网站 找到 1052106 的 Marangoni 数, 这表明在弯月面前沿的主要贡献是 溶质马兰戈尼效应。 因此,当地的马兰戈尼 流动 [图 2(C) 中的示意图] 导致正弦形状 弯月面,其波长由特性给出 Marangoni 流的波长(参见支持信息 计算)。 因此,这种 Marangoni 效应设置了图 3 中垂直条纹和点的周期性。 Marangoni 波长的幅度预计为 在 1.3 到 3.1 lm 之间,小于测量值 30 流明,无论 UVO 暴露如何,它都几乎保持不变 时间。 预测和测量的 Marangoni 的这种差异 波长最有可能是由于不可测量的增加 蒸发弯液面前沿的粘度。25,30
图 3 (A) 具有停止时间、t 5 100 ms 和设定距离的超支化结构形成的原位视频图像, d 5 5 流明。 快照之间的间隔时间 (Dt) 为 100 ms,步距 (Ds) 从红色三角形开始测量 标记。 白色箭头表示流动后退方向。 (B) 超支化结构的进化示意图。
超支化结构形成
揭示自发结构形成的细节 超支化结构,蜜桃性爱视频网站采用原位显微镜[图。 3(A)]。 视频图像显示超分支 结构通常分三个阶段形成[图。 3(B)]。 蜜桃性爱视频网站注意到,由于蜜桃性爱视频网站的弯液面的动态 过程中,蜜桃性爱视频网站很难测量波长 动态弯液面。 在第一阶段,手指平行于 由于马兰戈尼不稳定性而出现流动方向 和摩擦。 重要的是,三角形半月板将手指连接到半月板前部。 由于手指是 与本体溶液相比,PS 的浓度更高, 手指的表面张力相对较高,拉入 本体溶液,具有较低的表面张力。 这一步是 如图3(B)(a)所示。
在第二阶段,一根手指分成两根,从而形成一个分支。 这种划分与足够的 使三角形弯月面变薄 拉伸至由流涂设定距离确定的长度。 如果设置的距离足够小,那么细化 不会发生,PS 溶液继续馈送垂直 条纹。 对于变薄的三角形弯月面,蜜桃性爱视频网站假设 两个边缘的蒸发过程[图2中的两个点。 3(B) (b)] 由于几何形状的原因,蒸发速度更快 该位置的弯液面,即靠近刀片的位置 这会导致更陡峭的角度。 因此,边缘变为 更集中,增加了表面张力,这在 转弯绘制了较低级别的解决方案 [弯曲的箭头 图3(B)(b)]中的流动。 拉伸的三角形弯月面中的向外流动导致了较低的高度轮廓 中间由原子力显微镜表征(支持信息,图 S3)。
分支一直持续到第三阶段[图。 3(B)(c)] 当达到编程设定的距离时。 此时,该 基板停止移动,三角形弯月指再次形成,重复该过程以形成延伸 超支化结构[与图3(B)(a)相同]。
图 4 PS 模式作为设定距离 d 的函数,具有常数 co (co 5 0.5 mg/mL)、t (t 5 100 ms) 和 UVO 暴露时间 (60 秒)。 白色箭头表示流动后退方向。
设置距离的重要性
了解超分支的控制参数 几何,蜜桃性爱视频网站检查了设置距离 d 的影响(图 4), 同时保持 co、停止时间和 UVO 曝光时间常数。 当 d 较小时,例如 d 5 1 或 2 lm,垂直 形成平行于流动方向的条纹。 间距 这些垂直条纹的数量由 Marangoni 波长设置; 然而,随着设定距离的增加,结构发生了变化 从条纹到超支化结构。 此外,当 d 大于滑动距离,例如,d 5 20 lm 或 更大的、垂直于后退流的水平线 方向被沉积。 这种转变与 在弯液面接触线上形成临界应力 造成不稳定。 在小 d,而 Marangoni 流 将材料推向接触线,刀片运动将聚合物材料拖离接触线; 因此,沉积了垂直条纹。 当半月板被拉伸时 在 3 到 7 lm 之间,形成超支化结构。 为了 d 足够大,弯月面被强烈拉伸并且 动摇。 固定触点处的浓缩材料 线被沉积并形成一条水平线,而另一个 部分拉伸薄膜随着刀片移动。
图 5 (A) PS 图案作为 UVO 曝光时间的函数 具有恒定的初始 PS 浓度 (co 5 0.5 mg/mL)、停止时间 (t 5 1000 ms) 和设置距离 (d 5 1 mm)。 这 白色箭头表示流动后退方向。 (二) 聚苯乙烯 模式作为 co 和 t 的函数,同时保持不变 距离 (d 5 5 lm) 和 60 秒的 UVO 曝光时间。
溶质沉积的重要性
虽然表面能不影响 Marangoni 流动,它确实在聚合物的沉积过程中起作用 涂层,15,16,35 包括超支化结构的流涂 [图。 1(C)]。 如前所述,26,36,37 蒸发是 接触角越小,溶质向外流动越快 增加,导致更多的沉积。 在蜜桃性爱视频网站的方法中,通过观察沉积在初始接触线上的 PS 数量并控制停止时间,证实了这种效果 [无花果。 5(A)]。 PS吸附量随着UVO的增加而增加 由于在弯液面较低的接触角下溶剂蒸发增加,暴露时间增加。 未来的研究 控制蒸发率对图案形成的影响 6,38 可以使用流涂进行,例如, 强制空气对流以改变蒸发率。 6 此外, 已知较大的接触角有利于去湿,15,16 和 因此,拉伸的半月板不稳定, 解释为什么超支化结构倾向于出现在 接触角较大的基材。
初始溶液浓度的重要性 和停止时间
进一步探索影响超支化的变量 结构形成,蜜桃性爱视频网站保持UVO曝光时间并设置 距离,d,常数,分别为 60 s 和 5 lm,并且变化 流涂参数,初始溶液浓度,co, 和停止时间,t。 图 5(B) 显示了作为 co 和 t 函数的沉积 PS 的典型形态特征。 对于 PS 溶质在接触线上的沉积,在某种程度上, 停止时间相当于集中注意力。 更长的停车时间 时间促进更多的蒸发,39 从而在接触线上创造一个更集中的区域,与相同 co 的更短停止时间相比。 这种相似性是由 增加 co 或通过增加停止时间,显示 从超支化结构到垂直结构的相同过渡 条纹。 转换是通过更低的 co 和更长的时间实现的 停止时间或通过更高的 co 缩短停止时间。 在 低 co (co 5 0.1 mg/mL),在 更短的停止时间(t 5 70 ms),或者在较长的停止时间(t 5 100 150 ms)下产生具有垂直拖尾的点。 对于这些较低的 co,预计停止时间会更长 足够的粘度增加需要时间 实现了 PS 沉积。 在更高的 co 或更长时间停止 次,接触点附近有更多的聚合物材料可用 线,防止拉伸的半月板不稳定 进入分支结构。 周期性(波长) 垂直条纹之间由 Marangoni 决定 不稳定性和周期性随着 co 的增加而增加 [图 5(B)中 t 5 120 和 150 ms 的垂直列]。 这种增加 观察到周期性,因为粘度 g 增加 [无花果。 2(C) 证明了 g 随着 co 增加而增加] 结果 Ma 的减少和 k 的增加(方程 1 和 2)。





