合作客户/
拜耳公司 |
同济大学 |
联合大学 |
美国保洁 |
美国强生 |
瑞士罗氏 |
相关新闻Info
推荐新闻Info
-
> 反离子盐KBr浓度对酰胺基阳离子Gemini表面活性剂的表/界面活性的影响(二)
> 反离子盐KBr浓度对酰胺基阳离子Gemini表面活性剂的表/界面活性的影响(一)
> 典型离子型与非离子型起泡剂的界面行为对泡沫性能的影响机制
> 新无氰白铜锡电镀液及电镀方法可降低表面张力,促进镀液对复杂工件的润湿
> 一种耐超高温酸液体系、制备方法及其应用
> 纳米渗吸驱油剂种类、降低界面张力和改变润湿性的能力等机理研究(四)
> 复合驱中聚合物与阴离子表面活性剂的协同作用研究
> 化学组成对无碱铝硼硅OLED基板玻璃表面张力的影响——结果、结论
> 化学组成对无碱铝硼硅OLED基板玻璃表面张力的影响——摘要、实验方法
> 纳米渗吸驱油剂种类、降低界面张力和改变润湿性的能力等机理研究(三)
表面张力测定方法之动态法
来源:王辉 浏览 1349 次 发布时间:2022-10-08
毛细管上升法、zui大气泡压力法、DuNouy吊环法、Wilhelmy吊片法、滴重法和滴体积法等是测定平衡时的表面张力,即静态张力。毛细管上升法不能用于动态表面张力的测定,其他方法在操作上稍作改进即可用于测定动态表面张力,但各自适用的时间范围不同。zui大气泡法适用于.10ms一1s的动态表面张力;吊片法适用于几分钟到几小时的动态表面张力;滴重法适用于几分钟到0.1s之间的动态表面张力,特别适用于液液界面的动态表面张力。但是,对于时间极短的溶液表面张力的变化,则需用动态法测量。动态测量法中目前应用较多的有振荡射流法、旋滴法、悬滴法等。关于实验方法的选择,除考虑时间特征和表面张力范围外,也要结合样品的特点,如是否透明、润湿性等。
1.振荡射流法
动态表面张力广泛应用于喷射过程的研究和模拟,如空气中杀虫剂的表面张力几个毫秒内显著变化,对农药在植物叶面上的迅速均匀铺展极其重要。振荡射流技术在工农业中越来越受到重视。
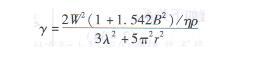
振荡射流法的测定时间范围可低达1ms左右。液流在一定压力下从椭圆形管口喷出时.射流可做周期性振动,形成一连串的波形。波形的产生是由于液体表面张力具有使液流由椭圆形变为圆形的倾向和射流惯性力的相互作用。波长随时间而变大。当液体黏度η<20mPa·s时,动态表面张力为:
式中,ρ是液体密度;W是射流流量;λ是射流波长;r是射流的平均半径。
式中,rmax与rmin分别为射流zui大半径与zui小半径,可用椭圆长半径与短半径代表。通过测定不同时间的射流流量形和射流波长x,可得到σ一t关系。彤值可由收集的射流液体的质量而得,射流波长可用光学摄影法得到。应用时要注意近喷口处几个波的波长会偏离常值,应加以校正。实验中射流的稳定十分重要,恰当地选取流动条件和椭圆喷嘴,该法能广泛用于许多液体如熔融金属、溶液、浆等表面张力的测定。
振荡射流法的zui大优点是振荡射流的形成几乎完全模拟了喷射过程,实验中流体首先在毛细管中,然后由喷口喷出一个自由的表面流,这与工农业上的喷雾过程相同。这个过程中表面张力起推动液体振荡而不是喷雾,但由于液体向前的流出条件是一致的,表面张力值相同。
2.旋滴法
如前所述,一般将表面张力值在10-3~10-1mN/m时称为低表面张力,10-3mN/m以下称为超低表面张力。旋滴法是目前测定超低界面张力zui简便的方法。
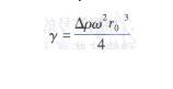
测定原理:在样品管中装入高密度的液体,再加入少量低密度液体,密闭后,将其置于旋滴仪中使其以w角速度旋转。在离心力、重力及表面张力作用下,低密度液体在高密度液体中形成圆柱形液滴。设圆柱形长为ι,半径为r0,两液体的密度差为△ρ。当圆柱形长度与直径的比率大于4时,表面张力γ可由Vomltegut方程求出:
旋滴法能够用于许多体系的界面张力研究,如聚合物熔体、沥青、原油、有机溶剂,使用时要求两相密度不同,为便于观察内部液滴的直径,要求较重相液体是透明的。
设备的操作条件对实验度影响较大,转速对实验结果也有影响。由于低密度相的液滴在高密度相中扩大,实验中半径r不能够直接测量,而r的准确度对测量结果至关重要,所以实验前需要测定扩大校正因数FC。一般,.FC可通过一系列明亮的棒的半径测量值和实际值的比率求得。FC与高密度相的性质和温度有关,当考察表面活性剂对界面张力的影响时,每个浓度都要测量,繁琐并且费时。FC等于高密度相的折射率,纯净物的折射率很容易查到,混合物的折射率却很难查到。采用方形样品管代替圆柱形样品管可以省去FC的测量。
3.悬滴法
悬滴法实质上是滴外形法的一种。滴外形法是根据液滴的外形来测定表面张力和接触角的方法,既有悬滴法又有躺滴法,其原理是根据Laplace关于毛细现象的方程:
△P=γ(1/R1+1/R2)
式中,γ为表面张力;R1和R2表示曲面半径;△p为界面上的压力差。
悬滴法测定表面张力,测量的量程宽(0.0l一80mN/m),且不依赖于接触角,对聚合物、液晶以及其他低摩尔质量液体都能够很好地适用,测量难熔金属的表面张力具有独特的优势。
早期,要经过查表获取表面张力值,实验较为繁琐,随着数字化技术和计算机技术的发展,经过许多学者的改进,使用轴称滴形分析(axisymmetficdropshapeanalysis,ADSA)技术实现了自动测量,运算过程只需输入重力加速度g和密度差△p的值。仪器主要由高压高温测量池(附带2个硼硅玻璃观察窗)、不锈钢毛细管(产生悬滴)、光学系统(线性光源、数字相机、显微镜)、数据处理系统(电脑、商业软件、数字化仪)、测(控)温和测(控)压系统、真空系统组成。





