合作客户/
拜耳公司 |
同济大学 |
联合大学 |
美国保洁 |
美国强生 |
瑞士罗氏 |
相关新闻Info
-
> 粘度、稠度和表面张力的共同点及在日常生活中的应用
> 诱导期测定法研究NaCl的添加对碳酸锂固-液界面张力等成核动力学参数影响——结果与讨论
> 蒙药滴丸剂制备与表面张力有何关系?
> 加入低表面张力活性剂,将自来水厂污泥制备成生物滞留介质海绵土
> 纳米渗吸驱油剂种类、降低界面张力和改变润湿性的能力等机理研究(四)
> 海洋环境表面活性物质来源及对海洋飞沫气溶胶数浓度、粒径分布、理化性质的影响(一)
> 芬兰Kibron表面张力测试仪跟踪氯乙烯悬浮聚合中的表面张力变化情况
> 三种金属阳离子对SDS表面活性剂溶液的影响研究
> 表面张力测定仪的测试方法及特点
> 表面活性剂对纳米碳纤维CNFs在水性体系中分散性的影响(一)
推荐新闻Info
-
> 反离子盐KBr浓度对酰胺基阳离子Gemini表面活性剂的表/界面活性的影响(二)
> 反离子盐KBr浓度对酰胺基阳离子Gemini表面活性剂的表/界面活性的影响(一)
> 典型离子型与非离子型起泡剂的界面行为对泡沫性能的影响机制
> 新无氰白铜锡电镀液及电镀方法可降低表面张力,促进镀液对复杂工件的润湿
> 一种耐超高温酸液体系、制备方法及其应用
> 纳米渗吸驱油剂种类、降低界面张力和改变润湿性的能力等机理研究(四)
> 复合驱中聚合物与阴离子表面活性剂的协同作用研究
> 化学组成对无碱铝硼硅OLED基板玻璃表面张力的影响——结果、结论
> 化学组成对无碱铝硼硅OLED基板玻璃表面张力的影响——摘要、实验方法
> 纳米渗吸驱油剂种类、降低界面张力和改变润湿性的能力等机理研究(三)
表面活性剂溶液的界面扩张流变学
来源:赛杰奥 浏览 1866 次 发布时间:2022-09-09
本书以国家科技重大专项的科研成果为基础,以表面活性剂溶液的界面扩张流变学研究为核心,全面介绍界面扩张流变学的概念、理论基础、方法、仪器和数据处理,系统分析模量、相角、弹性、黏性等界面流变参数的时间、频率和浓度依赖性与界面膜性质的关系,探讨界面弛豫过程的特征参数;分类描述了阴离子表面活性剂、阳离子表面活性剂、非离子表面活性剂、两性离子表面活性剂和Gemini表面活性剂在空气-水和油-水界面的扩张流变性质;重点阐释了通过界面扩张流变学研究手段获得流体界面吸附分子相互作用及微观行为的方式。
表面活性剂在生产实践和日常生活中应用广泛,它通过在溶液中形成聚集体和在界面上形成吸附膜,改变溶液和界面性质,发挥着“工业味精”的巨大作用。表面活性剂在流体界面上的吸附,与乳状液和泡沫生成和稳定密切相关,而界面膜的强度是决定性因素。由于流体界面吸附膜与体相存在扩散交换的开放体系,对界面膜强度的有效表征一直是学术界的难题,直到流体界面流变学飞速发展,这一难题才得到根本性的解决。
表面活性剂界面扩张流变学研究在理论和实践上均具有重要意义。理论上:长期以来,表面活性剂分子在流体界面上的吸附机制、相互作用强弱、聚集体形成等界面行为和过程中缺乏有效的研究手段,界面扩张流变学研究是探索界面微观行为的有力工具。实践上:界面扩张流变参数能够表征界面吸附膜的强度,与乳状液和泡沫的稳定性直接相关,能够指导生产实践。更为重要的是,界面扩张流变学研究是新兴的领域,国内尚无相关专著。
在国家973计划和国家科技重大专项的资助下,中国科学院理化技术研究所和胜利油田的联合研究团队在表面活性剂界面扩张流变学领域进行了长期的探索,获得了一定的成果。将这些成果总结成书,期待为推动我国流体界面流变学的发展尽微薄之力。
流体界面扩张流变学还处于快速发展之中,因此本书主要介绍其方法和应用实例,构架复杂的新型研究手段与应用之间的桥梁,让具有基础化学知识的读者掌握界面扩张流变研究手段。本书以表面活性剂溶液的界面扩张流变学研究为核心,全面介绍界面扩张流变学的基础知识,分类描述不同类型表面活性剂在空气-水和油-水界面的扩张流变性质;重点阐释通过界面扩张流变学研究手段获得流体界面吸附分子相互作用及微观行为的方式。在本书写作上,避免烦琐的数学推导和理论描述,以界面扩张流变方法的物理化学意义和仪器应用为重点,强调可操作性。
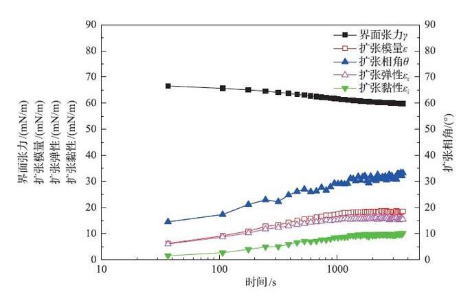
表面活性剂溶液的动态界面张力、扩张模量、扩张相角、扩张弹性和扩张黏性随时间变化曲线
界面扩张流变参数与频率的关系(悬挂滴方法)
界面扩张流变参数与浓度的关系(悬挂滴方法)
C16G(EO)3PC表面排布方式的变化
黑色曲线代表烷基链;灰色曲线代表EO基团
C16GPB表面排布方式的变化
全书共六章,在编写过程中力求做到系统性、科学性和实用性的统一。在叙述上力求深入浅出,其主要成果来源于胜利油田化学驱技术研究及现场应用成果,同时吸收了国内外同行近年来研究的最新成果。
相关书籍:
本书可为大专院校物理化学专业的师生、提高石油采收率相关研究人员和工程技术人员提供指导,对于研究领域涉及流体界面和两亲性分子的所有研究人员也有一定的借鉴意义。
本文摘编自《表面活性剂溶液的界面扩张流变学》【曹绪龙 张 路 祝仰文 王红艳 潘斌林 元福卿 编著.北京:科学出版社,2021.09】一书。





