合作客户/
拜耳公司 |
同济大学 |
联合大学 |
美国保洁 |
美国强生 |
瑞士罗氏 |
相关新闻Info
-
> 表面张力、XPS试验研究DDA或TPA在锂云母表面的吸附机理——试验结果分析与讨论、结论
> 不同水油黏度比条件下乳化对3种稠油复合体系的影响(三)
> 新型POSS基杂化泡沫稳定剂表面张力测定及对泡沫压缩性能的影响(三)
> 表面张力对激光空泡脉动及溃灭特性的影响(一)
> 基于界面张力弛豫法探讨疏水改性聚合物与石油酸和沥青质间的相互作用(一)
> 固体、盐溶液表面张力测量及与其在洁净硅橡胶表面接触角的关系研究(一)
> SF作为天然表面活性剂制造纳米器件,大大改善疏水表面的水润湿性
> 不同温压条件、水环境对CO2溶解度及界面张力的影响规律
> 基于单分子层技术研究哈维氏弧菌磷脂酶D对不同磷脂底物的吸附动力学——材料与方法
> 纳米渗吸驱油剂种类、降低界面张力和改变润湿性的能力等机理研究(三)
推荐新闻Info
-
> 反离子盐KBr浓度对酰胺基阳离子Gemini表面活性剂的表/界面活性的影响(二)
> 反离子盐KBr浓度对酰胺基阳离子Gemini表面活性剂的表/界面活性的影响(一)
> 典型离子型与非离子型起泡剂的界面行为对泡沫性能的影响机制
> 新无氰白铜锡电镀液及电镀方法可降低表面张力,促进镀液对复杂工件的润湿
> 一种耐超高温酸液体系、制备方法及其应用
> 纳米渗吸驱油剂种类、降低界面张力和改变润湿性的能力等机理研究(四)
> 复合驱中聚合物与阴离子表面活性剂的协同作用研究
> 化学组成对无碱铝硼硅OLED基板玻璃表面张力的影响——结果、结论
> 化学组成对无碱铝硼硅OLED基板玻璃表面张力的影响——摘要、实验方法
> 纳米渗吸驱油剂种类、降低界面张力和改变润湿性的能力等机理研究(三)
平面流动皂膜表面张力系数、厚度和流动速度实验装置及测量方法(二)
来源:实验流体力学 浏览 606 次 发布时间:2025-04-23
2皂膜表面张力系数测量
由于皂膜厚度很小,其表面张力系数不能简单采用对半无限深液体表面张力系数分析的结果。Sane等通过皂膜的力平衡分析得到一种测量皂膜表面张力系数的简便方法,但在推导中多处采用了近似方法。本文给出一个严格推导,得出确切结论,并通过后文介绍的平面流动皂膜测量结果对该结论进行检验,证明推导的正确性;在此基础上,计算皂膜的表面张力系数。
如图1(a)所示,尼龙绳BE和CD下方悬挂质量为m的砝码以施加张力、保持流道稳定。当没有皂液流动时,尼龙线BE和CD在砝码作用下保持铅直;当皂液流入流道形成皂膜,尼龙绳BE和CD在皂膜表面张力的作用下向皂膜侧略微收缩,形成微微内凹的流道(图中对内凹程度有所放大)。从力平衡的角度出发,推导出该内凹曲线的形状与皂膜表面张力系数的关系,可以给出一种测量流动皂膜表面张力系数的方法。
选取尼龙绳BE的中点O为坐标系原点,x轴为重力方向。设A为尼龙绳OB段上任一点,坐标为(xA,yA),对尼龙绳段OA进行受力分析。简单的受力大小估计表明:当皂膜流向方向的尺寸在1 m量级、砝码自重在1 kg量级时,尼龙绳自重、流动皂膜对尼龙绳的动压力、黏性力等都至多为尼龙绳张力的1/104,在后续分析中忽略它们对尼龙绳力平衡的影响。因此,尼龙绳受到点O、点A的拉力FO、FA以及尼龙绳上各微元段ds=dx/cosθ(x)的表面张力,其中,θ(x)表示尼龙绳上一点x处切向方向与重力方向的夹角。由于对称性,在中点O处θ(0)=0。因此,尼龙绳段OA在水平和竖直方向的受力平衡关系式分别为:
在推导式(1)和(2)时,假设皂膜边界上的表面张力系数γ不随位置而变化(对于充分发展达到稳定流动的皂膜,此假设是合理的);式中的系数“2”是考虑到皂膜前后表面都会对尼龙绳产生表面张力。
将式(1)和(2)相除,并注意到点A的任意性,可以得到描述流道内凹形状的曲线方程:
对式(3)积分,并结合边界条件y(x=0)=0,得到曲线方程如下:
式(4)中包含未知参数FO(即尼龙绳中点O处的拉力),其值可以通过将式(2)应用于B点,并代入B点处尼龙绳的力平衡关系FBcosθ(xB)=mg/2得到:
式中,L为BE段尼龙绳长度,推导式(5)时使用了xB=L/2。式(4)可稍加整理为:
其中,参数2γL/FO的值为:
式(6)和(7)即为边界曲线形状的准确方程。在推导方程的过程中,除物理上的简单假设(如忽略尼龙绳自重)外,未作任何数学上的近似。
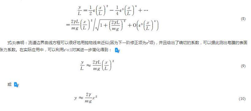
与悬挂物(砝码)的重力相比,表面张力通常很小。例如,当L=1 m、m=1 kg时,取纯水的表面张力系数γ=72 mN/m,得到2γL/(mg)≈1.5×10-2,代入式(7)得到2γL/FO≈3.0×10-2。记ε=2γL/FO,ε′=2γL/(mg),则ε和ε′为同阶远小于1的小量。因此,对式(6)关于ε进行小参数展开可得:
式(8)表明:流道边界曲线方程可以很好地用抛物线来近似(因为下一阶修正项为ε3项),并且给出了确切的系数,可以据此测出皂膜的表面张力系数。在实际应用中,可以利用ε′≪1对其进一步简化得到:
为验证曲线方程(10),在砝码质量m=0.2 kg、皂液流量Q=35 mL/min时,实测了稳态流动皂膜状态下尼龙绳的位置坐标,如图2中的离散点所示。尼龙绳位置通过照相得到,为获得较大范围内的图像,采用的放大倍数为1个像素对应0.35 mm的物理尺寸。对尼龙绳图像在水平方向的光强分布进行高斯函数拟合以获得亚像素的定位精度。图2中的光滑曲线是采用式(10)进行拟合的结果,与实测曲线吻合良好,验证了分析的正确性。利用已知的砝码质量,可以进一步得到表面张力系数γ=27.5 mN/m。值得注意的是:当砝码质量很小时,表面张力引起的流道收缩很大(在中点O处达到最大值12%),为避免由此带来的流速和厚度场改变,在流动皂膜实验中一般使用m=2 kg的砝码。
图2流道边界实测值(红色点)与理论分析(蓝色线)对比
Sane等推导了表面张力系数与尼龙绳曲线方程的关系,但并未获得曲线方程的精确解,而是采用高阶多项式对实测曲线进行拟合,发现选取二阶多项式可以得到较好的结果,从而也获得了式(10),并通过拟合系数得到了表面张力系数。本文的严格推导说明:流道边界曲线是抛物线加上高两阶小量的修正。图(2)也证明了这一推导结论的正确性。
采用测量边界曲线形状的方式来获得表面张力系数,在实验上存在一处困难:通常边界曲线曲率较小,为测出其具体形状必须拍摄较大范围;对于幅面大小一定的相机,这意味着空间分辨率的降低,给准确确定边界曲线带来了一定困难。因此,本文提出一种新的、更简便易行的表面张力系数测量方法。
根据式(10),可以给出流道中点O在有皂膜流动时相对于无皂膜流动时(即尼龙绳为竖直状态时)的位移:
因此,通过测量给定砝码质量下流道中点O的位移,就可以很方便地使用式(11)得到皂膜的表面张力系数。此方法的一个优点是:无需拍摄大范围的尼龙绳图像,照相时可以采用较大的放大倍数,获得较高的空间分辨率。在实际应用时,本文采用了每像素对应0.01 mm物理尺寸的分辨率。根据式(11),γ≈2mgyO/L2,砝码质量m=(500±1)g和尼龙绳长度L=(500±1)mm的测量都可以控制在0.2%的测量偏差范围内。当yO=(1±0.01)mm的测量偏差范围降低至1%,实现了仅有2%左右不确定度的表面张力系数测量。
图3给出了在同一皂液流量Q=35 mL/min下测得的流道中点O的位移随砝码质量的变化以及根据式(11)拟合的直线。所有数据点都很好地落在过原点的拟合直线上,进一步验证了本文推导的正确性。根据直线斜率测得的表面张力系数γ=27.1 mN/m,与前述抛物线拟合法得到的结果相近。
图3流道中点O在有/无皂膜流动时的位移量随砝码质量的变化
利用这一方法,还测量了表面张力系数随皂液流量的变化关系,如图4所示。图中曲线并非如部分文献报道的“表面张力系数随皂液流量增加而单调下降”,这可能是由于表面张力系数随皂膜厚度变化而有所变化、且实验中皂膜厚度并非均匀分布导致的。
图4表面张力系数随皂液流量的变化
3、结论
本文搭建了一个重力驱动的平面流动皂膜实验装置,能够得到皂液流量Q=5~60 mL/min、平均速度u=1~4 m/s、平均厚度h=3~9μm的稳定竖直流动的皂膜。为测量皂膜的表面张力系数,基于皂膜边界上的力平衡方程推导得到流动皂膜边界曲线方程的精确解。实验结果验证了本文推导,并由此得出表面张力系数的两种测量方法。此外,还提出了一种基于光学干涉的皂膜厚度测量方法。将该方法与皂膜流动速度剖面测量相结合,可以给出皂膜的厚度剖面。本文中提出的皂膜表面张力系数及厚度的测量方法简便易行,可以较为全面地测量平面流动皂膜并评估其特性(如扰动波在皂膜中的传播速度)。





