合作客户/
拜耳公司 |
同济大学 |
联合大学 |
美国保洁 |
美国强生 |
瑞士罗氏 |
相关新闻Info
-
> 不同温度压力下CO2和混合烷烃的界面张力测定(一)
> 氨基改性硅油柔软剂的表面张力、透水率、分层测试(一)
> 什么是蜜桃成人半夜在线观看?蜜桃成人半夜在线观看的工作原理及作用
> 温度、截断半径、模拟分子数对水汽液界面特性的影响规律(二)
> 炔属二醇表面活性剂对环氧灌浆材料浆液性能、灌体的渗透性影响(二)
> 发泡材料配方对表面张力的影响
> (Delta-8)橄榄油两性表面活性剂之间的协同作用和阴离子表面活性剂——结果和讨论、结论、致谢!
> 旋转液滴法测量和计算界面张力的方法
> 表面张力为35.5 mN m−1可提高水凝胶涂层仿生水下非粘着超疏油性能
> 单层膜界面上亚微米颗粒表面张力阻力系数修正——摘要、引言
推荐新闻Info
-
> 反离子盐KBr浓度对酰胺基阳离子Gemini表面活性剂的表/界面活性的影响(二)
> 反离子盐KBr浓度对酰胺基阳离子Gemini表面活性剂的表/界面活性的影响(一)
> 典型离子型与非离子型起泡剂的界面行为对泡沫性能的影响机制
> 新无氰白铜锡电镀液及电镀方法可降低表面张力,促进镀液对复杂工件的润湿
> 一种耐超高温酸液体系、制备方法及其应用
> 纳米渗吸驱油剂种类、降低界面张力和改变润湿性的能力等机理研究(四)
> 复合驱中聚合物与阴离子表面活性剂的协同作用研究
> 化学组成对无碱铝硼硅OLED基板玻璃表面张力的影响——结果、结论
> 化学组成对无碱铝硼硅OLED基板玻璃表面张力的影响——摘要、实验方法
> 纳米渗吸驱油剂种类、降低界面张力和改变润湿性的能力等机理研究(三)
钌催化剂合成丁炔二醇醚三硅氧烷表面活性剂反应条件及表面张力测定(一)
来源:北京化工大学学报(自然科学版) 浏览 823 次 发布时间:2025-03-14
摘要
以丁炔二醇乙氧基化物(BEO)和1,1,1,3,5,5,5⁃七甲基三硅氧烷(MDHM)为原料,在钌催化剂的催化下通过硅氢加成反应合成了丁炔二醇醚三硅氧烷(BEOTSS),并采用红外光谱(FT-IR)和核磁共振(1H-NMR)技术对BEOTSS结构进行了表征。考察了反应温度、反应时间、原料配比及催化剂用量对MDHM转化率的影响,并通过正交试验优化了催化反应条件:催化剂用量为30 mg/kg,n(BEO)∶n(MDHM)为1.05∶1,反应时间为6.0 h,反应温度为100℃,在此工艺条件下MDHM转化率可达99%。测定了BEOTSS的界面性能,结果显示:25℃下0.1%BEOTSS水溶液的表面张力为22.5 mN/m,临界胶束浓度(CMC)为4.9×10-5 mol/L,表明BEOTSS在浓度很低时可显著降低水的表面张力,具有优良的表面活性。
引言
表面活性剂广泛用于水性涂料、油墨、造纸、印染、电子材料、日化等行业,开发具有低表面张力、高润湿性,同时具备消泡性能的表面活性剂是该领域的主要研究方向。三硅氧烷表面活性剂是一类伞形结构的有机硅表面活性剂,具有较低的表面张力和超级润湿性,有着广阔的应用前景。目前国内外对这类表面活性剂的研究重点是烯丙基聚氧乙烯醚改性三硅氧烷,人们对其合成工艺及应用进行了较为深入的研究,并且已有商品生产。但是,此类非离子型改性三硅氧烷存在易水解的缺点,在水溶液中难以长久稳定而丧失表面活性,使得其应用受到限制,此外其消泡性能和流平性能也不够理想。为了解决这些问题,研究人员将目光转向开发新型结构的聚醚改性三硅氧烷表面活性剂。
丁炔二醇乙氧基化物(BEO)分子结构中含有炔基和两个醇羟基,具有低泡和润湿性好的优点,在涂料工业中可配合三硅氧烷表面活性剂作为润湿剂和流平剂。由于BEO分子中具有不饱和的炔基,可与七甲基三硅氧烷及含氢聚硅氧烷发生硅氢加成反应,合成具有两条亲水基团的有机硅表面活性剂。所得产物结合了有机硅表面活性剂和炔二醇表面活性剂的优点,在消泡性、润湿性、耐水解性方面更有优势,近年来逐渐受到研究者的关注。
三硅氧烷表面活性剂可以在催化剂的作用下通过硅氢加成反应合成,传统的硅氢加成催化剂主要是铂催化剂,其中最有效的铂催化剂是氯铂酸(Speier催化剂)、[(ViMe2Si)2O]PtCl2(Karstedt’s催化剂),但铂催化剂价格昂贵,生产成本高,从而限制了其工业应用。钌催化剂相对廉价,具有良好的反应活性、选择性和稳定性,广泛用于精细化工、新能源等领域,在工业应用方面更有竞争力。目前,钌催化剂已成功用于硅氢加氢反应,但是还没有钌催化剂用于催化BEO合成丁炔二醇醚三硅氧烷(BEOTSS)表面活性剂的报道。为此,本文以BEO与1,1,1,3,5,5,5⁃七甲基三硅氧烷(MDHM)为原料,采用钌催化剂代替传统的铂催化剂催化合成了BEOTSS,并采用正交试验优化了反应条件,最后测定了其界面性能。
1实验部分
1.1实验材料与仪器
BEO,工业级,分子式C4H6O2(C2H4O)2,江苏梦得新材料科技有限公司;MDHM,工业级,浙江润禾有机硅新材料有限公司;三氯化钌水合物(RuCl3·3H2O),化学纯,南京化学试剂股份有限公司;三(三苯基膦)二氯化钌(RuCl2(P(C6H5)3)3),化学纯,上海源叶生物科技有限公司;六水合氯铂酸(H2PtCl6·6H2O)、异丙醇,分析纯,西陇科学股份有限公司;超纯水,实验室自制。
Magna-550型傅里叶变换红外光谱仪(FT-IR),美国Nicolet公司;AvanceⅢ-400型核磁共振波谱仪(NMR),瑞士Bruker公司;蜜桃AV免费观看,芬兰Kibron公司;Buchi/R00EL型旋转蒸发仪,瑞士步琦有限公司;雷磁PHS-3C型pH计,上海精密科学仪器有限公司。
1.2 BEO的活化
称取一定量的三氯化钌水合物和三(三苯基膦)二氯化钌,分别溶于异丙醇中,配成0.01%(质量分数)的钌催化剂溶液。向具有温度计、冷凝器、搅拌器和氮气通入口的250 mL干燥四口烧瓶中加入40 g BEO和100 mL异丙醇,再加入配制好的钌催化剂溶液,用量为30 mg/kg(以MDHM和BEO的总质量为基准,催化剂中钌的质量占比),边搅拌边加热至80℃,活化30 min。
1.3 BEOTSS的合成
BEO与MDHM在钌催化剂的催化下通过硅氢加成反应合成BEOTSS,合成机理如图1所示。在上述烧瓶中加入一定量的MDHM,继续通入氮气,在搅拌下加热至100℃,反应6 h。通过测定含氢量确定MDHM的转化率,达到要求后停止反应,冷却至室温,将反应物用旋转蒸发仪进行真空减压蒸馏,分离出异丙醇溶剂以及未反应的MDHM,得到淡黄色至黄色的透明液体,即BEOTSS。
图1 BEOTSS的合成机理
1.4 MDHM转化率的测定
MDHM中的Si—H键可被KOH水溶液断裂而产生氢气,氢气中的氢原子分别来自Si—H和KOH,因此反应产生1 mol氢气需要消耗1 mol MDHM。利用这一特性,可根据反应产物与KOH溶液反应生成氢气的体积,推算出反应产物中未参与反应的MDHM的量,由此计算MDHM转化率。
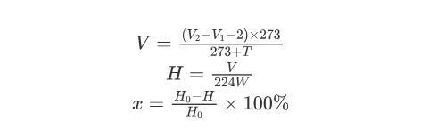
准确称取0.1~0.5 g样品加入具支试管中,使用50 mL碱式滴定管作为量气管,下端连接锥形瓶,上端连接具支试管,碱式滴定管与锥形瓶中装有蒸馏水。将具支试管用橡胶塞密封,移动锥形瓶使其液面与碱式滴定管液面平行,此时读取碱式滴定管的刻度。用注射器将2 mL 10%(质量分数)的氢氧化钾-乙醇液注入样品中,不断摇动,放出氢气,待稳定后,移动锥形瓶使液面与碱式滴定管液面在同一水平处,读取碱式滴定管的刻度,通过下式计算MDHM转化率。

式中:V为在1个标准大气压、273 K的条件下生成氢气的体积,mL;V 1为反应前碱式滴定管的读数,mL;V 2为反应后碱式滴定管的读数,mL;T为反应温度,℃;H为反应产物的含氢量,10-2 mol/g;W为样品质量,g;x为MDHM转化率;H 0为反应前产物的含氢量,10-2 mol/g。