合作客户/
拜耳公司 |
同济大学 |
联合大学 |
美国保洁 |
美国强生 |
瑞士罗氏 |
相关新闻Info
推荐新闻Info
-
> 反离子盐KBr浓度对酰胺基阳离子Gemini表面活性剂的表/界面活性的影响(二)
> 反离子盐KBr浓度对酰胺基阳离子Gemini表面活性剂的表/界面活性的影响(一)
> 典型离子型与非离子型起泡剂的界面行为对泡沫性能的影响机制
> 新无氰白铜锡电镀液及电镀方法可降低表面张力,促进镀液对复杂工件的润湿
> 一种耐超高温酸液体系、制备方法及其应用
> 纳米渗吸驱油剂种类、降低界面张力和改变润湿性的能力等机理研究(四)
> 复合驱中聚合物与阴离子表面活性剂的协同作用研究
> 化学组成对无碱铝硼硅OLED基板玻璃表面张力的影响——结果、结论
> 化学组成对无碱铝硼硅OLED基板玻璃表面张力的影响——摘要、实验方法
> 纳米渗吸驱油剂种类、降低界面张力和改变润湿性的能力等机理研究(三)
量化改进差分毛细管法测试高温液态沥青表面张力精度(上)
来源:建筑材料学报 浏览 906 次 发布时间:2024-12-04
高温液态沥青的表面张力是指高温液体状态下的沥青与空气接触的表面层分子在内部分子的分子间作用力下,产生的一种指向液体内部的吸引力;在表面张力的作用下,高温液态沥青表面产生了向内部收缩的势能,即表面能,其表面张力与表面能在数值与量纲上相同。沥青与集料在拌和压实过程中,界面接触并黏附形成沥青膜,在表面张力的作用下,沥青膜有不易扩散的趋势,进而影响沥青与集料的黏结性能。近年来,沥青表面张力与表面能理论已广泛应用于沥青混合料黏附性研究,且可以作为沥青混合料界面黏结性能的评价方法和标准。
现行的高温液态沥青表面张力的测试方法有毛细管法、差分毛细管法和悬滴法等。毛细管法在测量沥青上升高度时,由于液体对毛细管外壁的浸润作用而产生测量误差,对试验结果影响较大。有研究机构曾使用差分毛细管法测试高温液态沥青的表面张力,但忽略了接触角、修正高度、毛细管内半径优选及标定对测试结果的影响,试验结果具有一定的偏差。根据笔者前期的研究,对于沥青类高黏度液体而言,悬滴法达到平衡状态需要较长时间,加之缺乏平衡状态的判定准则,难以得到准确的悬滴图像轮廓;且沥青悬滴与针头相接触部分的黏附力较难确定,针头的大小和类型对于沥青表面张力测试的适用性较难确定。
基于上述分析,本文基于差分毛细管法,推导出沥青表面张力计算公式,设计了差分毛细管法测试沥青表面张力的装置,标定了毛细管的内半径,分析了毛细管内半径、接触角、修正高度等因素对高温液态沥青表面张力测试结果的影响,改进了差分毛细管法并对其有效性进行了验证,以期推动高温液态沥青表面张力的测试技术的进展。
1试验原理与方法
1.1试验原理
差分毛细管法测试沥青表面张力的原理见图1.将2根同质异径的毛细管插入高温液态沥青中,表面张力产生的附加压力使毛细管内沥青液面高于管外沥青液面,直至向上的压力与管内液体的重力达到平衡。由图1可见:在某一初始水平面上,较细毛细管内液体上升高度更高;由于液体对管壁有浸润性,管内液面呈现凹形半月面形态,在计算管内液体的重力时需考虑管内液面的高度修正。
式中:V为球冠体的体积;S为毛细管横截面面积;r为毛细管内半径大小;θ为毛细管内凹液面拟合为球冠状之后的接触角;γ为试验温度下液体的表面张力计算值。
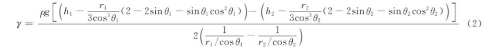
将Δh代入表面张力计算公式,得到式(2):
式中:ρ为试验温度下液体的密度;g为当地重力加速度;h1、h2为自同一水平面起,差分组合的毛细管内凹液面上缘的最大上升高度,因表面张力计算仅需同质异径毛细管内液面的高度差,图1中的起始平面可在管外沥青液面与毛细管上升高度间指定;θ1、θ2为毛细管内凹液面拟合为球冠状之后的接触角;r1、r2为差分组合的毛细管内半径大小。
图1差分毛细管法试验原理
图2毛细管内液面的修正高度
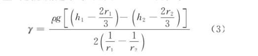
随着内半径减小,凹液面趋于半球形状,液面与管壁的接触角趋于零(见图2(b)),可得式(3):
在式(3)的基础上,忽略接触角和修正高度,得到差分毛细管法测试沥青表面张力的现行公式:
(4)
值得注意的是,沥青不透明,无法观测凹液面底部位置,在式(2)——(4)中,液面高度统一取为凹液面上缘的最大上升高度;沥青色黑不透光,无法测量接触角,因此使用式(3)计算沥青的表面张力。综上,高温液态沥青的表面张力计算需3个参数:(1)同质异径毛细管内沥青液面的最大上升高度;(2)同质异径毛细管的内半径;(3)高温液态沥青的密度。上述3个参数中,沥青密度根据GB/T 1884—2000《原油和液体石油产品密度实验室测定法(密度计法)》,采用自制密度计测试。下文将重点阐述毛细管内液面上升高度和毛细管内半径的测定方法。
1.2液面上升高度的测量
为准确测量液面上升高度,需采取以下措施:(1)保证毛细管竖直。为此,设计了差分毛细管法的试验装置,该装置可调平,将毛细管竖直粘贴在刻有参考线的金属块上,见图3.(2)利用超声波,将无水乙醇作为清洗液,清洗毛细管,防止毛细管内部油污、灰尘等影响液面的上升高度。(3)为避免液体浸润流动消耗能量,导致上升高度受限,使用“补偿法”确定液面上升高度:当毛细管内液面停止上升之后,缓慢降低管外毛细管内半径标定液的液面高度,直至毛细管内液面均呈现下降状态后停止,等待毛细管内液面稳定。
图3差分毛细管法试验装置立面图
1)文中涉及的纯度、掺量均为质量分数。
1.3毛细管内半径的标定
毛细管的实际内半径r与生产标号NRI有一定差异,需进行标定。文中毛细管内半径在0.08——0.50mm范围内,难以直接测定。利用式(2),选择无水乙醇作为标定液,内半径较粗、可测的毛细管作为基准管,反向标定较细毛细管的内半径。标定过程为:(1)通过电荷耦合器件(CCD)相机拍摄,并获取基准管的内半径。(2)使用相机拍摄毛细管内液面上升高度,以及无水乙醇与管内壁的接触角;(3)记录试验温度t.根据无水乙醇的表面张力计算公式和温度~密度特性表获得其表面张力γe与密度ρ,见式(5)和表1.(4)将上述参数代入式(2),得到毛细管的内半径值。
表1无水乙醇密度与温度关系表
1.4差分毛细管法方法改进
选择内半径r≤0.50mm和r=1.00mm的毛细管差分组合,使用测微显微镜标定毛细管内半径,式(4)计算表面张力。改进的差分毛细管法与现行方法存在以下差异:(1)采用无水乙醇作为标定液,以式(2)进行毛细管内半径标定。测微显微镜仅能测定某一横截面的毛细管内半径,无法得到液面上升高度范围内的等效内半径。然而,毛细管内半径并不均一,随着内半径生产标号的减小,毛细管内径变得粗细不均,采用测微显微镜测定毛细管内半径的误差增加。因此,采用生产标号1.00mm的毛细管作为基准管,利用CCD相机测定其内半径,用式(2)反向标定较细毛细管的内半径,以增加内半径标定的精度。(2)选用内半径更小的毛细管进行沥青的表面张力测试。由于管内液面与管壁接触角随着内半径减小逐渐减小,并趋于零。表面张力计算值的误差,随着毛细管内半径的减小逐渐减小。文中选择毛细管内半径组合的生产标号为0.10mm和0.20mm.内半径生产标号为0.05mm的毛细管内沥青液面的理论上升高度将超过100mm(毛细管长度),因此不予选择。(3)改进方法使用式(3)代替式(4)计算沥青的表面张力,考虑了管内凹液面高度修正对高温液态沥青表面张力计算的影响。
2原材料与试验
2.1原材料
纯度1)99.5%的无水乙醇(分析纯);70#基质沥青(B);SBS改性沥青(S);5种表面活性剂:阿科玛Cecabase 945(W1)、阿科玛Cecabase Bio 10(W2)、诺力昂Rediset LQ-1102C(W3)、上海龙孚LYE-WMA(W4)、美德维实伟克M-1(W5),表面活性剂W1——W5掺量分别为沥青质量的0.4%、0.4%、0.6%、0.6%、0.6%.沥青的技术指标见表2,其中:黏度采用布式旋转黏度法测试,取剪切速率为25s-1时的黏度值;基质沥青、SBS改性沥青的密度与黏度的测试温度分别为135、165℃。
表2沥青的技术指标
2.2试验方案
为提升高温液态沥青表面张力的测试精度,设计以下试验方案:
(1)接触角与修正高度对毛细管内半径的影响。测定无水乙醇与毛细管内壁的接触角(θ)。采用式(2)标定毛细管的内半径(r),比较标定内半径与生产标号的差异。
(2)毛细管内半径对表面张力的影响。选择生产标号为0.10mm和0.20mm的差分毛细管组合,采用式(2)标定毛细管的内半径,用式(3)计算沥青的表面张力,量化毛细管内半径标定前后对表面张力测试结果的影响。
(3)表面张力计算值的精度分析。选择8种沥青,B、B+W1、B+W2、B+W3、B+W4、B+W5、S、S+W1,对比现行方法和改进方法的表面张力计算值,量化改进差分毛细管法所测表面张力的测试精度。
(4)表面张力指标的有效性验证。根据改进的差分毛细管法,量化表面活性剂对沥青表面张力的影响。将其与理论规律进行对比,分析采用表面张力作为表面活性剂沥青技术性能评价指标的有效性。





