合作客户/
拜耳公司 |
同济大学 |
联合大学 |
美国保洁 |
美国强生 |
瑞士罗氏 |
相关新闻Info
推荐新闻Info
-
> 反离子盐KBr浓度对酰胺基阳离子Gemini表面活性剂的表/界面活性的影响(二)
> 反离子盐KBr浓度对酰胺基阳离子Gemini表面活性剂的表/界面活性的影响(一)
> 典型离子型与非离子型起泡剂的界面行为对泡沫性能的影响机制
> 新无氰白铜锡电镀液及电镀方法可降低表面张力,促进镀液对复杂工件的润湿
> 一种耐超高温酸液体系、制备方法及其应用
> 纳米渗吸驱油剂种类、降低界面张力和改变润湿性的能力等机理研究(四)
> 复合驱中聚合物与阴离子表面活性剂的协同作用研究
> 化学组成对无碱铝硼硅OLED基板玻璃表面张力的影响——结果、结论
> 化学组成对无碱铝硼硅OLED基板玻璃表面张力的影响——摘要、实验方法
> 纳米渗吸驱油剂种类、降低界面张力和改变润湿性的能力等机理研究(三)
拉脱法测量:不同性能磁性液体的磁表面张力变化规律与影响因素(一)
来源:物理实验 浏览 1020 次 发布时间:2024-10-16
使用拉脱法测量了磁性液体的磁表面张力,根据计算机实时采集电压随时间的变化数据得到U-t曲线,进而将液膜拉脱过程分为6个阶段,分别研究了每个阶段的电压变化原因。无外加磁场作用时2F号磁性液体存在一电压变化较平缓的阶段,而白油和1F磁性液体并未出现此现象,这主要是因为白油和1F磁性液体表面张力较大,2F号磁性液体的表面张力较小造成。有外加磁场作用时,磁性液体的磁表面张力增加,主要是由于外加磁场增强了磁性颗粒之间的相互作用。
1、前言
磁性液体是由包覆表活性剂的磁性颗粒分散在载液中,依靠表面活性剂分子层的排斥作用而稳定存在,特殊结构决定了磁性液体表面张力的特殊性,外加磁场作用于磁性液体时,分散在载液中的磁性颗粒浓度和磁场强度会导致磁性液体的磁表面张力发生变化,从而影响磁性液体在界面不稳定性、液滴形变、密封等方面的应用。Sudo等人的研究表明:水基和煤油基磁性液体的磁表面张力随磁场强度增强而变大;随浓度增加,水基磁性液体的磁表面张力变小,而煤油基磁性液体的表面张力变大。大学物理实验课程中设置了“拉脱法测量液体的表面张力系数”,一般都是测量水及其溶液的表面张力,以教师讲授为主,且内容简单,引不起学生的学习兴趣,艾志伟等人提出将PBL教学模式应用到拉脱法测量液体的表面张力系数,以问题为导向,可促进学生的主动学习和合作学习。
因此,本文将特殊的磁性液体融入实验教学,使用拉脱法测量其磁表面张力,新鲜知识的融入可激发学生的学习主动性;将硅压力敏传感器的力信号转变为电压信号输入计算机,利用计算机在线实时监测电压值的变化,研究拉脱过程中不同性能磁性液体的磁表面张力变化规律,让学生了解磁表面张力的影响因素。根据计算机实时在线采集的电压随时间的变化曲线将液膜拉脱过程分为6个阶段,分别对每个阶段研究了电压变化的原因。测量了竖直方向上均匀磁场中不同性能的磁性液体的磁表面张力,分析了磁场强度对其的影响。
2、实验装置及原理
拉脱法是测试液体表面张力最常用的方法,该方法灵敏度高、仪器简单,因此使用拉脱法测量了磁性液体的磁表面张力,测试装置如图1所示。将培养皿放入空心螺线管的中心位置,倒入大约1.0cm高磁性液体,保证拉脱过程中磁性液体和片状吊环处于均匀磁场中,所施加的磁场方向竖直向上,该磁场方向平行于切线方向的磁性液膜,研究均匀磁场强度对磁性液体磁表面张力的影响。
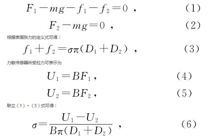
如图2所示。液膜破裂前后瞬间,片状吊环的受力平衡方程分别为
根据表面张力的定义式可得:
力敏传感器所受拉力可表示为
联立(1)——(5)式可得:
式中,F1和F2分别为液膜破裂前后瞬间片状吊环所受的拉力,f1和f2为片状吊环内外表面液体的表面张力,θ为表面张力与竖直方向的夹角。m为片状吊环的质量,D1和D2为片状吊环内外径,B为力敏传感器灵敏度,U1和U2为液膜破裂前后瞬间力敏传感器输出的电压值,σ为磁性液体的磁表面张力系数。
图1磁性液体磁表面张力测试仪
图2片状吊环某过程受力分析
3、无外加磁场和有磁场作用时磁性液体的表面张力
实验使用的磁性液体采用等离子体法研制,将7#白油和PBSI-941表面活性剂按比例配制,常压下加温进行超声波分散,使二者充分混合,倒入反应腔;通Ar置换反应腔内空气,使用交变高频脉冲电压对NH3和Ar放电产生氮的活性粒子,和Fe(CO)5分解生成的铁粒子重新组合,控制好反应温度和时间,合成氮化铁磁性液体。纳米磁性颗粒的直径范围为9——15nm.1F号和2F号磁性液体制备时7#白油和PBSI-941表面活性剂的质量比分别为4.5:1和5:1,除7#白油用量不同外,其他制备参量相同。
表1力敏传感器定标数据
图3 7#白油和磁性液体液膜的收缩状态
力敏传感器定标数据见表1,使用Origin软件对直线进行拟合,可得力敏传感器灵敏度B=7.727V/N.测量无外加磁场作用的磁性液体表面张力系数时,为直观观察拉脱时液膜的变化过程,将培养皿放置于电磁线圈端部进行测量,图3为拉脱过程中某一瞬间液膜的收缩状态,从图中可看到,磁性液体的液膜拉得更长,液膜收缩的趋势比白油更明显,这主要是因为磁性液体中加入的表面活性剂降低了其表面张力。可从表面张力形成原理来分析其中的原因:第一,液体表面张力系数的大小宏观上反映出液体表面具有自动收缩的趋势,表面张力系数较大的白油由于分子和分子之间的引力较大,表面层分子更容易向液体内部运动,某一拉力作用下,液膜断裂,不易拉起较长的液膜;第二,不同液体对同一种固体的浸润程度不一样,表面张力系数小的液体(0.03N/m左右),几乎能浸润一切固体;表面张力系数较大的液体,只能浸润某些固体;7#白油的表面张力系数大于磁性液体,片状吊环和磁性液体的结合力大于片状吊环和7#白油的结合力;液膜不容易和片状吊环脱离,拉起来的液膜比较长。





